We have considered the overall performance of a rocket and seen that is directly dependent on the exit velocity of the propellant. Further, we have used the steady flow energy equation to determine the exhaust velocity using the combustion chamber conditions and the nozzle exit pressure. In this brief section, we will apply concepts from thermodynamics and fluids to relate geometrical (design) parameters for a rocket nozzle to the exhaust velocity.
We will make the following assumptions:
| p = rRT | (ideal gas) |
![]() |
(isentropic flow) |
| (energy equation) |
imply that

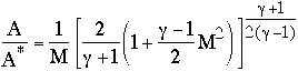
Then from conservation of mass
| (cons. of mass) | |
![]() |
The above equation relates the flow area, the mass flow, the Mach number and the stagnation conditions. It is frequently rewritten in a non-dimensional form by dividing through by the value at M=1 (where the area at M=1 is A*):

which takes a form something like that shown in Figure 6.1 below

Figure 6.1 General form of relationship between flow area and Mach number.
See this interactively at NASA Glenn - GO! |
We can use these equations to rewrite our expression for rocket thrust in terms of nozzle geometry (throat area = A*, and exit area Ae).
![]()
evaluate at M = 1 (throat)



We can now specify geometry (A* and Ae) to determine Me. Then use Me with the combustion chamber conditions to determine thrust and Isp.
Interested in seeing the different types of nozzles out there? - GO! |
| << Previous | Unified Propulsion | Next >> |